分析該案例,其實加工成圓形工件棒最容易(只需要夾緊工件的伺服電機A慢慢左右運動,讓砂輪切削工件毛坯,然后加工成圓棒,加工好的圓棒半徑是毛坯棒中心線到砂輪邊的距離,設為R。而在加工的過程中,前后運動的伺服電機B在砂輪工作后,帶動工作臺運動到半徑為R的位置之后,就不需要前后運動),這時可以檢驗機械部分,看看是否能正常工作,看看加工好的圓棒是否漂亮。
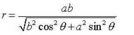
然后再來加工成橢圓棒,應該也比較容易,假設橢圓長軸為a,短軸為b,半徑為R(也就是毛坯棒中心線到砂輪邊的距離),不過此時的R是通過伺服電機B前后運動而不斷變化的。 開始加工,首先啟動砂輪工作,然后讓伺服電機B帶動工作臺向砂輪運動,當運動到R=a時,此時啟動伺服電機A,并計算它的轉角,然后代入公式(如圖),根據伺服電機A的轉角來算出R,比較R和伺服電機B的位置,讓伺服電機B前后運動,此時,應該可以加工出橢圓棒。注意,如果a=b,加工出來的是圓形棒。 長方形棒應該也不難的。
